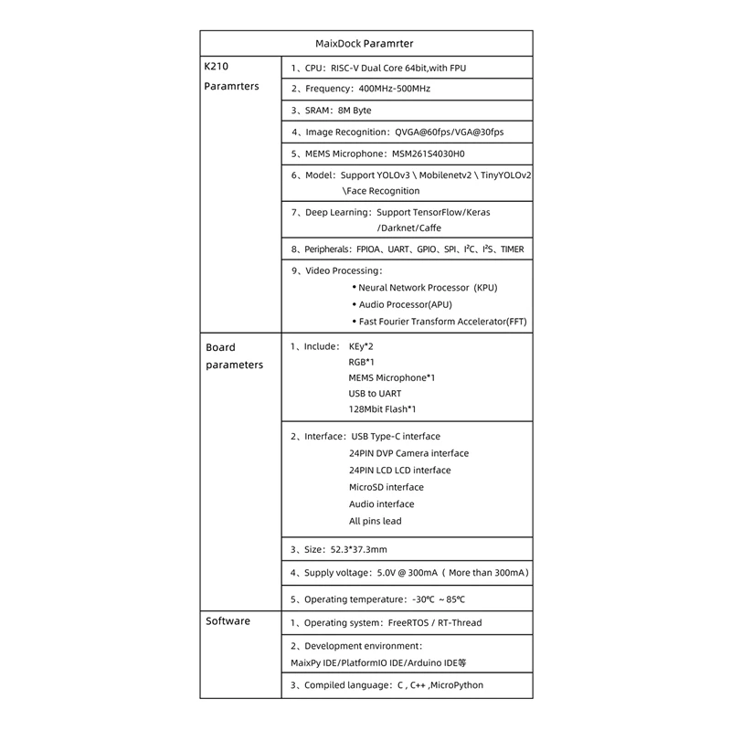
For Sipeed Maix Dock Kit K210 AI+Lot With Mic Array+Binocular Cam GC0328 Camera+2.4 Inch Screen Development Board Kits
Price history chart & currency exchange rate
Customers also viewed

$68.99
High Speed Hair Dryer for Professional Salon Use Fast Drying with Powerful Motor
aliexpress.com
$7.07
Waterproof Transparent Shoulder Bag Adjustable Shoulder Strap Large Capacity PVC Crossbody Bag Phone Pouch PVC
aliexpress.com
$36.00
Кабель питания переменного тока Hi-end OFC, Hi-Fi аудио кабель питания schuko с разъемом питания США
aliexpress.com
$16.24
Мягкий силиконовый чехол для планшета Lenovo Legion Y700 8,8 дюйма, чехол-подставка, защитный чехол для телефона 8,8 дюйма, чехол 9707F, оболочка
aliexpress.com
$11.75
16Pcs Save A Deer Whistles Deer Warning Devices for Cars & Motorcycles Suv Atv Deer Collisions
aliexpress.com
$31.83
Чехол для передней фары Opel Zafira, прозрачный абажур, аксессуары для передней фары, левая сторона
aliexpress.com
$54.96
zq Character Candlestick Decoration Home Decoration Shoe Cabinet Hallway Decorations Living Room Dining Room Ornament
aliexpress.com
$14.59
Pregnancy Tee Breast Feeding Top Maternity Clothes Pregnant Shirt Nursing Maternity T Shirt Nursing Tops Breastfeeding
aliexpress.com
$1.96
Romantic Pink Heart Stud Earrings Engagement Wedding Party Fashion Earrings for Women Love Gift Newly Designed Jewelry
aliexpress.com
$3.49
Slim Flip Cover for Samsung Galaxy A5 2017 A520 / A5 2016 A510 / A5 2015 A500 Phone Case Holster with Window View Fundas Capa
aliexpress.com
$1.44
3Bags Multi Color Flower Nail Art Charms Trendy Resin Rhinestone For Nail Decoration 3/6mm 5Petal Flower With Bead Press On Nail
aliexpress.com
$339.60
SKATER JEANS, Blue;light blue, Dsquared2 stretch denim jeans with light wash. They feature logo patches on the back pocket, logo label on the button closure, intentionally distressed areas. Model height is 183 cm and he is wearing a size IT 46.
coltortiboutique.com$1.79
「Obral」 LEM FOX PUTIH 150gr Ready Stok/5.5 STOK READY/HARGA GROSIR >>/STAR BRANDS/Original
shopee.co.id
$14.48
2020 new single layer baby clothes newborn romper baby jumpsuit hooded children's climbing romper
aliexpress.com
$2.30
hair accessories baby bandana drool bibs for boys and girls,super soft 100% organic cotton shower gift sets born saliva towel, Slivery;white
dhgate.com
$27.11
belts fashion vintage metal double clasp women belt buckle pu girdle waistband wide elastic cinturones mujer, Black;brown
dhgate.com
$366.90
grade men's handbag leather head business leisure briefcase horizontal hand carrying computer bag briefcases
dhgate.com
$55.00
Compatible Projector lamp bulb AH-55001 with housing for EIKI EIP-WX5000/EIP-WX5000L
aliexpress.com
$2.87
TPU чехол GETMAN Ease logo усиленные углы для OnePlus 8 Прозрачный / Transparent (is_00000038850_1)
allo.ua
$48.28
cotton linen crochet lace embroidery finished short curtain half for kitchen small window shade custom#4 & drapes
dhgate.com
$30.80
summer women's square toe platform sandals ladies high heel shoes female thin hele single wedding black white blue
dhgate.com
$29.14
2021 ladies elegant office bodycon dresses round neck long sleeve lace cocktail dress for women evening, Black;red
dhgate.com
$5.48
3pieces/lot faux silk women pajamas dress robe lace sleepwear camisole nightdress home wear nightgown clothing pijamas mujer, Black;red
dhgate.com
$13.58
Men T Shirt Kodaskin S Tees Racer Black Cotton Multistrada Funny T Shirt Novelty Tshirt Women
aliexpress.com
$11.09
Baby Rompers Short Sleeve Summer Heart Baby Girls Clothing Jumpsuits Children Summer 0-24M Newborn Outfits Outwear Clothes, Gray
dhgate.com
$93.96
CARPRIE Exhaust Flange Repair Clamp Kit For E46 M3 Exhaust Flange Muffler Back Box Repair Rusted Clamp je4
dhgate.com
$26.63
Soundbar Bluetooth Speaker Sound Bar Wireless Speaker Sound Box For Phone Computer Stereo Music surround Outdoor Speakers
aliexpress.com
$9.59
Art Forest Print Tapestry Sunflower Wall Hanging Tapestry Home Room Bedspread Decoration
aliexpress.com
$2.99
2pcs Upgrade Repair Parts RC Car Transmission Shaft 15-WJ06 For Remote Control 1:12 S911/9115 S912/9116 Truck Accessory Spare
aliexpress.com
$34.68
Pocket Baby Fetal Heartbeat Monitor With light LCD Screen For Pregnant Women Baby Care Home use Doppler Heart Rate Monitor
aliexpress.com
$85.57
Плюс размер 24seven Comfort Apparel Расклешенное платье миди с длинными рукавами 24Seven Comfort Apparel, цвет Rust
cdek.shopping
$83.61
lys Designer Women Knits Bear Sweater Polos Pullover Embroidery Fashion Knitted Sweaters Long Sleeve Casual Printed Wool Cotton y Tracksuit 58C, Yellow
dhgate.com
$95.04
24V DC Electric Tatami Lifting Table Manual Height Adjustment Lifting Platform Remote Control Lifting Height 310-670mm 360-800mm
aliexpress.com














