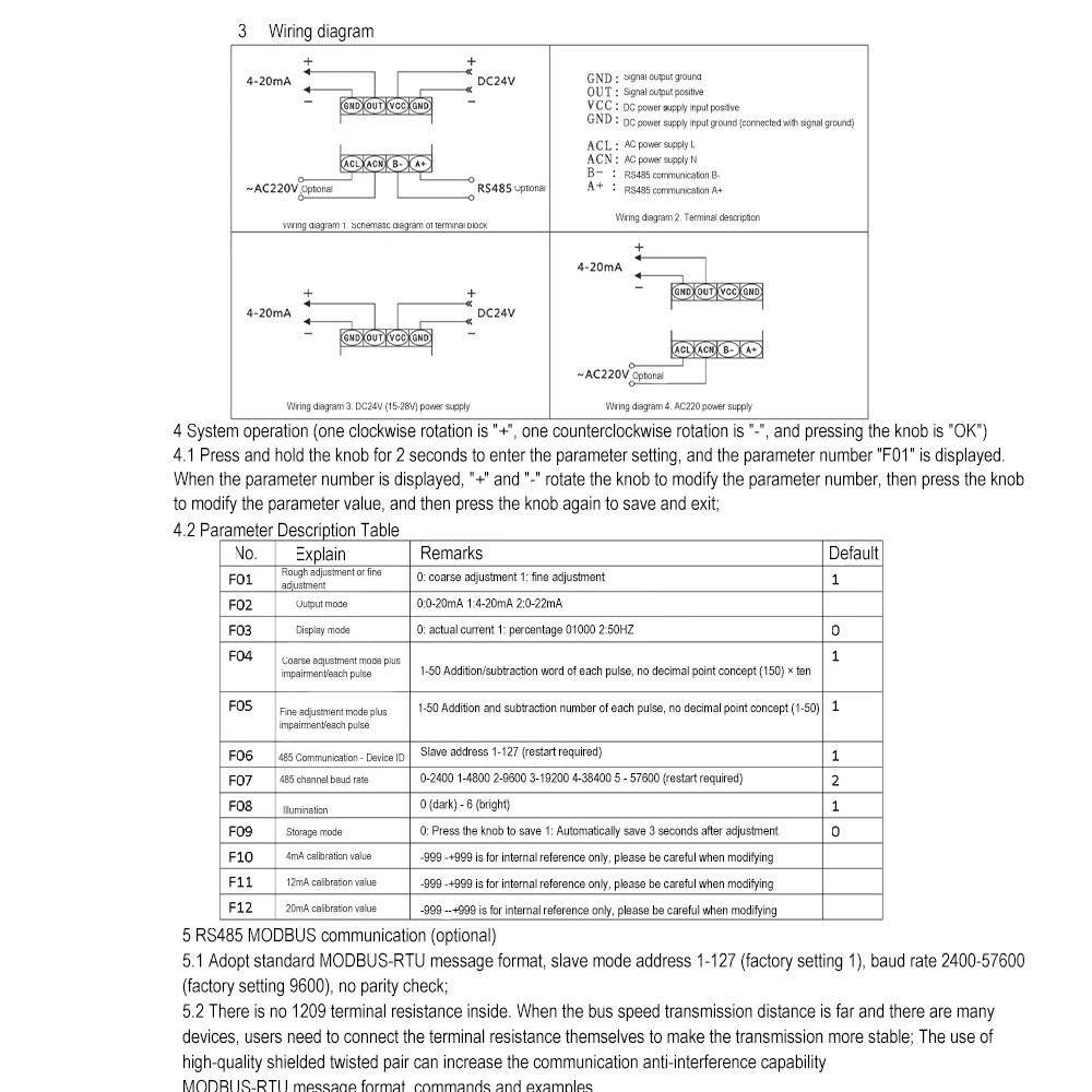
DC15V-28V Current Signal Generator With Communication 485 MODBUS Digital Display Rail Installation Current Signal Generator
Price history chart & currency exchange rate
Customers also viewed

$17.29
Инновационная автомобильная светодиодная фара 7X6 5X7 120 Вт дальнего/ближнего света для Chevy Express
aliexpress.ru
$12.81
VORE ME - pastel T-Shirt sports fans shirts graphic tees Female clothing t shirts for Women
aliexpress.ru
$383.04
Worth Buying Durable Energy Saving Swimming Pool Cleaner Swimming Pool Accessories
aliexpress.com
$55.46
Женская мини-юбка из искусственной кожи, повседневная короткая юбка выше колена, лето-осень
aliexpress.com
$7.96
Vintage Dragon Print Shirt Fashion Loose Shirts Breathable Blouse Lapel Collar Shirts For Men Short Sleeve Camisas Blusas Tops
aliexpress.com
$2.99
School Pencil Cases Portable High Quality Makeup Organizer Women's Cosmetic Bag Travel Toiletry Bags Custom Cute Cat Dog Print
aliexpress.com
$2,297.29
PDV series portable digital viscosimeter handy type model PDV serial viscometer LPDV-1
aliexpress.com
$6.16
Creative Funny Cute Plush Explosive Hair Cartoon Lovely Duck Doll Keychain Bag Pendant Hanging Keyring For Women Charms Gift
joom.ru
$48.02
Womens Knitted Totes Bags Woody Tote small medium Big Women Handbag Designer Handbags Luxurys Designers Bags Shoulder Crossbody Ba285G, As picture
dhgate.com
$3.77
2PcsRose Tattoo Blossom Flower Brand New Fashion Waterproof Temporary Tattoo Sticker Tatoo Girls Tattoo Women Fake Henna
aliexpress.ru
$4.91
Водонепроницаемые тапочки, Мужская теплая обувь, хлопковая Теплая мужская обувь на платформе, женская обувь для дома, уличные кроссовки
aliexpress.ru
$12.29
2021 New Summer Sandals For Women Greek Style Handmade Flip Flops Bohemian Sandals Lip Flops Outerwear Fashion Women Shoes
aliexpress.com
$10.19
Толстовки двойная к-pop новинка Женский свитшот с надписью MORE & MORE в стиле альбома Moletom Feminino Корейская толстовка мужское зимнее пальто в стиле ...
aliexpress.ru
$6.67
Usb Type-c автомобильный музыкальный ритм светодиодный декоративсветильник/Автомобильная Лампа/музыкальная лампа/звуковая музыка активирова...
aliexpress.com
$4.51
Blocking Protection Men id Credit Card Holder Wallet Leather Metal Aluminum Business Bank Card Case CreditCard Cardholder
aliexpress.com
$1.82
1pcs Cartoon Fish Printed Napkins Cotton Linen Fabric Napkin Table Dinner Napkins For Wedding Party Restaurants Table Decor
aliexpress.com
$7.95
Pivoting Coupler for Pressure Washer Nozzle, Gutter Cleaner Attachment for Gutter Cleaning, 240 Degree, 4500 Psi, 1/4 Inch Quick
aliexpress.com
$0.62
Spaloria Fashion Boho Crystal Tassel Neck Choker Pendant Necklace Collar For Women Bikini Sweater Multilayer Long Chains Jewelry
aliexpress.com
$9.40
3pcs Anti Slip Bathroom Mat Set Non-Slip Fish Scale Bath Mat Bathroom Kitchen Vintage wood pattern print Carpet Doormats Decor
aliexpress.com
$5.65
cltgxdd 1set DIY 6 Buttons PCB Board Switch Wire Connector Controller Kit For Raspberry Pi GBZ For Game Boy GB Zero DMG-001
aliexpress.com
$110.72
Bright Yellow Sleeveless African Evening Dress Mermaid With Court Train Party Formal For Black Girls Evening Dresses
aliexpress.com
$13.39
Vikewe Full HD MINI Camera 1080P Night Vision Outside Nanny Micro Cam Motion Detection Digital Camcorder Recorder
aliexpress.com
$3.56
Mix Cartoon Children's Mirror Cute Decorative Sunshade Sunglasses Travel Brand Designer Female Eyewear Cartoon Character Glasses
aliexpress.com
$4.30
2019 Women Summer Classic And Elegant Fashion Design Sexy Concise Short Style Casual All-match Letter Printed Slim Fit Camisole
aliexpress.com
$16.49
2018 Luxury Genuine Leather Small Men Wallets Clutch Male Vintage Hasp Slim Wallet for Short Coin Purse Men's Credit Card
aliexpress.com















